煙氣濕法脫硫專用復合增效劑 SGR-1201
SGR-1201 Wet FGD enhancement additive
1. 產品簡介
“煙氣濕法脫硫專用復合增效劑”也可以稱之為“濕式復合脫硫增效劑”,是專門針對電廠、鋼廠、水泥廠等采用石灰石-石膏濕法脫除二氧化硫工藝而開發出來的一款產品。
2. 產品技術指標
名稱 | 指標 |
外觀 | 白色粉末 |
PH(1%) | 2.0-3.0 |
3. 產品作用原理與效果
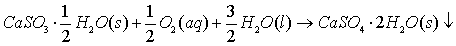
3.1 脫硫涉及到的主要過程
石灰石-石膏濕法煙氣脫硫系統中涉及以下三個過程:石灰石溶解,二氧化硫吸收,亞硫酸鹽氧化為硫酸鹽。所涉及到主要化學反應式如下:





3.2 添加本產品對濕法脫硫(wet FGD)強化效果示意圖

3.3 產生的效果
(1)復合脫硫增效劑通過改變氣液接觸界面性質,降低傳質阻力;
(2)氫離子傳遞,促進石灰石溶解,緩沖pH波動,維持系統穩定,提高脫硫效率;
(3)抑制吸收部位亞硫酸鹽氧化,防止共混亞硫酸與硫酸鈣混合垢形成;
(4)通過對硫酸鈣結晶體表面的修辭,提高石膏脫水率。
因此,在使用本脫硫增效劑后,有兩方面的工作可以做:其一,不停泵前提下,提高系統運行穩定性(PH比較平穩、脫硫效率比較平穩),擴大選煤空間,提高脫硫率;其二,除以上方面,在保證脫硫效率以及系統穩定運行前提下,如果停用單臺漿液循環泵,每日電費節省是相當可觀的,亦可以降低石灰石用量,做到節能降耗。
4. 使用方法
(1)在吸收塔地坑口處一次或分批加入,可根據電廠實際情況提出具體方案;
(2)加藥量可根據脫硫系統實際運轉情況定,脫硫增效劑應用專工會推薦最佳加藥量,一般加藥量在200ppm-1500ppm(按照脫硫吸收塔持漿體積計算);
(3)使用濕式復合脫硫增效劑脫硫塔循環漿液pH值控制在5.5-5.8脫硫效果較好,最高PH盡可能不超過6.0。
5. 包裝與貯存
脫硫增效劑一般采用塑料袋密封包裝,25Kg/袋。常溫下,儲存于避光陰涼干燥處,遠離火種、熱源,應與氧化劑、還原劑、堿性物質分開存放。運輸時包裝要完整、裝載要穩妥,途中要防雨淋、日曬、高溫。儲存期為十二個月。
6. 安全與防護
脫硫增效劑,粉末狀易飛揚,操作時注意勞動保護,人工添加時需佩戴防護面罩,避免粉塵進入呼吸道對人體造成傷害;皮膚、眼睛等接觸時用大量清水沖洗。